振荡电路基本概念
从实质上上讲,振荡电路指的是产生我们所需频率的电振荡,也被称为谐振电路。一个简单的谐振电路包括电感器 L和电容器 C ,两者共同决定电路的振荡频率。
为了更好的理解振荡电路的概念,让我们来看一下下面的电路。该电路中的电容器已经使用直流电源充电。在这种情况下,电容器的上板有过量的电子,而下板却存在电子缺失。电容器存储了一些静电能,因此电容器两端存在电压差。
当开关 S 闭合时,电容器放电,电流流过电感器。由于感应效应,电流慢慢地积聚到最大值。一旦电容器完全放电,线圈周围的磁场将变为最大。
现在让我们进入下一阶段。一旦电容器完全放电,磁场开始失效(collapse),并根据楞次定律产生反电动势。现在电容器上板带正电荷,下板带负电荷。
一旦电容器充满电,它就开始放电,在线圈周围形成磁场,如下图所示。
这种连续的充电和放电导致电子的交替运动或振荡电流。L 和 C 之间的能量交换产生连续振荡。在没有能量损耗的理想电路中,振荡会无限地继续下去。在实际的谐振电路中,会发生线圈中的电阻和辐射损耗以及电容器中的介电损耗等损耗,这些损耗导致阻尼振荡。
振荡频率
谐振电路产生的振荡频率由谐振电路的元件 L 和 C 决定。实际的振荡频率是谐振频率(或固有频率)的谐振电路,这是由:
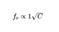
电容器的电容
振荡频率与电容器容量的平方根成反比。所以,如果使用的电容器的值很大,充放电的时间周期就会很大。因此频率会更低。
从数学上来说,频率:
线圈的自感
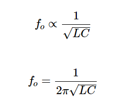
振荡的频率与线圈自感系数的平方根成正比。如果电感值较大,则电流变化的阻力较大,因此完成每个周期所需的时间将较长,这意味着时间周期将更长,频率将更低。
从数学上来说,频率:
结合上述两个方程:
上述方程虽然表示输出频率,但与谐振电路的固有频率或谐振频率相匹配。








